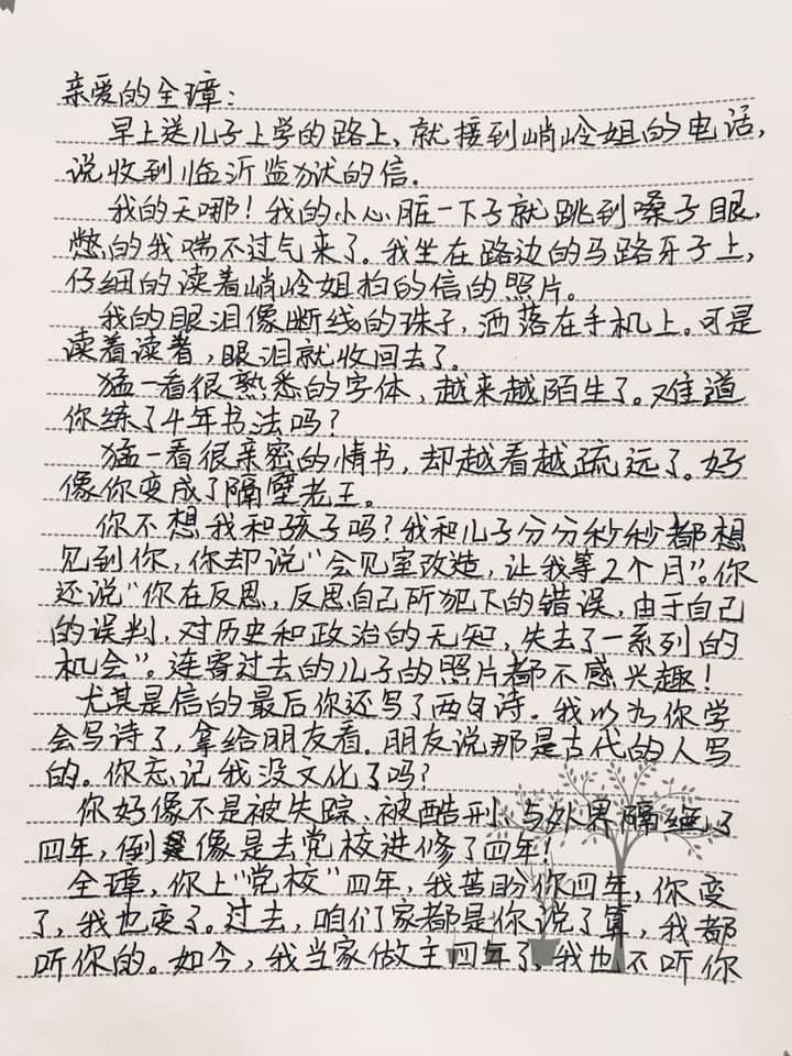
早上送儿子上学的路上,就接到峭岭姐打来电话,说收到临沂监狱的信。
我的天哪!我的小心脏一下子就跳到嗓子眼,憋的我喘不过气来了。我坐在路边的马路牙子上,仔细的读着峭岭姐拍的信的照片。
我的眼泪像断线的珠子,洒落在手机上。可是读着读着,眼泪就收回去了。
猛一看很熟悉的字体,越来越陌生了。难道你练了4年书法吗?
猛一看很亲密的情书,却越看越疏远了。好像你变成了隔壁老王。
你不想我和孩子吗?我和儿子分分秒秒都想见到你,你却说“会见室改造,让我等2个月”。你还说“你在反思,反思自己所犯下的错误,由于自己的误判,对历史和政治的无知,失去了一系列的机会”。连寄过去的儿子的照片都不感兴趣!
尤其是信的最后你还写了两句诗。我以为你学会写诗了,拿给朋友看。朋友说那是古代的人写的。你忘记我没文化了吗?
你好像不是被失踪、被酷刑、与外界隔绝了四年,倒像是去党校进修了四年!
全璋,你上“党校”四年,我苦盼你四年,你变了,我也变了。过去,咱们家都是你说了算,我都听你的。如今,我当家做主四年了,我也不听你指挥了!我必须去见你,而且要见到你!会见室不能见,办公室能不能见?你也别想着管我了,我不亲眼看见你,绝不罢休!
李文足






